Was ist Ultraschall und wo wird er eingesetzt?
Wirkt auf ein elastisches Medium, wie z.B. ein Gas, eine Flüssigkeit oder einen Festkörper, eine externe Kraft, so kommt es ausgehend vom Ort der Krafteinwirkung zur wellenförmigen Ausbreitung von Druck- und Dichteschwankungen in Raum und Zeit. Diese bezeichnet man als Schall.
Von Ultraschall spricht man, wenn die Frequenz der sich ausbreitenden Welle 16.000 Hz überschreitet und sie damit für das menschliche Ohr nicht mehr wahrzunehmen ist. Der Frequenzbereich für Ultraschall erstreckt sich bis 16 GHz, also 16 Milliarden Zyklen pro Sekunde.
Medizintechnik aber auch Industrie und Forschung nutzen Ultraschall in vielerlei Hinsicht. Bekanntestes Einsatzgebiet ist die Sonografie, auch Echografie genannt. Hier werden mittels Ultraschall Bilder von Gewebe und Organen erzeugt. Der große Vorteil der Sonografie gegenüber anderen bildgebenden Verfahren in der Medizintechnik liegt in der Unschädlichkeit der Schallwellen, sodass selbst der Einsatz bei Ungeborenen unbedenklich möglich ist.
Neben der medizinischen Bildgebung werden auch für Anwendungen in der Messtechnik geringe Schallintensitäten benötigt. Die Intensität des Schalls beschreibt die Leistung, die auf eine bestimmte Fläche trifft. Übersteigt diese 10 W/cm2, spricht man von Leistungsschall. Im Gegensatz zu Ultraschall niedriger Intensitäten verursacht Leistungsschall Stoffveränderungen oder gar -zerstörungen und eignet sich damit zum Einsatz in der Materialbearbeitung, der Ultraschallreinigung oder im medizinischen Bereich zur >> Zertrümmerung von Nierensteinen.
Wie wird Ultraschall mit Piezoelementen erzeugt?
Zum Erzeugen und Detektieren von Ultraschallwellen bieten piezoelektrische Komponenten beste Voraussetzungen.
Unter dem Einfluss eines elektrischen Feldes werden in piezoelektrischen Materialien Ladungsträger verschoben, was zu einer makroskopischen Längenänderung führt (inverser Piezoeffekt). Handelt es sich bei der angelegten Spannung um eine Wechselspannung, so werden die Partikel im Medium, z.B. in der Luft, in Schwingung versetzt. Es entstehen Druckschwankungen. Eine Verdünnung der Partikel führt zu niedrigerem Druck, eine Verdichtung zu erhöhtem Druck. Die Wellenlänge des Schalls beschreibt den Abstand zwischen zwei Verdünnungs- bzw. Verdichtungsbereichen. Die so entstehenden Schallwellen breiten sich im umgebenden Medium aus. Abhängig von der Dichte und den elastischen Eigenschaften des Mediums, variiert die Geschwindigkeit des Schalls.
Grundsätzlich unterscheidet man zwischen Longitudinal- und Transversalwellen. Bei Longitudinalwellen erfolgt die Schwingung in der Ebene ihrer Ausbreitung. Sie können sich in Flüssigkeiten und Gasen, aber auch in Festkörpern ausbreiten. Transversalwellen hingegen schwingen senkrecht zu ihrer Ausbreitungsrichtung, was nur in Festkörpern möglich ist. Beide Wellenmodi können durch Reflexion oder Brechung an Grenzflächen zu dichteren Materialien in den jeweils anderen Modus umgewandelt werden.
Elektroakustische Wandler
Elektroakustische Wandler, auch Transducer genannt, wandeln Schallenergie in elektrische Energie oder umgekehrt. Sie bestehen aus einem aktiven Piezoelement, einem Gehäuse und elektrischen Anschlüssen.
Wichtige Größe für die Übertragung von Schallwellen ist die Schallkennimpedanz, auch bekannt als Wellenwiderstand. Sie hängt von der Dichte des Mediums und der Schallgeschwindigkeit ab. Die Differenz der Schallkennimpedanzen zweier Medien bestimmt, ob und wie gut die Schallwellen von einem ins andere Medium übertragen werden können. Ist diese Differenz zu groß, wird der Schall reflektiert, eine Übertragung ist nicht möglich.
Im Transducer sorgt eine Anpassungsschicht (Transformationsschicht) zwischen dem Piezoelement und dem umgebenden Medium für eine möglichst kleine Differenz der Schallkennimpedanz und erhöht so die Qualität der Übertragung. Optimaler Weise hat diese Schicht eine Dicke von einem Viertel der Wellenlänge des Schalls (λ/4).
Das elektromechanische Verhalten eines zu Schwingungen angeregten piezoelektrischen Elements lässt sich mit einem elektrischen Ersatzschaltbild darstellen.
C0 ist dabei die Kapazität des Dielektrikums. Die Reihenschaltung aus C1, L1 und R1 beschreibt die Änderung der mechanischen Eigenschaften wie elastische Deformation, effektive Masse bzw. Trägheit und mechanische Verluste durch innere Reibung. Diese Schwingkreis-Beschreibung ist allerdings nur für Frequenzen in der Nähe der mechanischen Eigenresonanz anwendbar.
Die meisten piezoelektrischen Materialparameter werden über Impedanzmessungen an speziellen Prüfkörpern im Resonanzfall bestimmt.
Die Impedanz Z, auch Scheinwiderstand, ist ein komplexer Wechselstromwiderstand, wobei der Realteil für den ohmschen Widerstand und der Imaginärteil für den Blindwiderstand stehen. Die Impedanz wird durch die Länge des komplexen Vektors und einen Phasenwinkel ϕ beschrieben.
Durch die >> Kopplung von mechanischer und elektrischer Schwingung werden mechanische Resonanzen elektrisch messbar. Für die Bestimmung der piezoelektrischen Kennwerte werden die Serien- und Parallelresonanzen herangezogen. Diese entsprechen in guter Näherung dem Impedanzminimum fm und -maximum fn. Die Impendanzmessung wird bei der Qualitätsprüfung von Piezokomponenten und Baugruppen standardmäßig durchgeführt. Anhand von Form und Dynamik der Impedanzkurve lassen sich beispielsweise Rückschlüsse auf Defekte in der Piezokomponente oder auch auf die Qualität von Klebeschichten ziehen.
Ultraschall-Messprinzipien mit Piezoelementen
Piezo-Ultraschallsensoren bieten eine hohe Präzision und Zuverlässigkeit über große Messbereiche und sind langzeitstabil und kompakt. Sie benötigen keine optische Transparenz. Grundsätzlich wird zwischen zwei Messprinzipien unterschieden:
1. Laufzeitmessung
1. Laufzeitmessung
Sei es zur Abstandsbestimmung, Objekterkennung oder für >> Durchflussmessungen, bei der Laufzeitmessung dient das piezokeramische Element sowohl als Sender als auch als Empfänger.
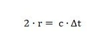
Das piezokeramische Element sendet einen Ultraschallimpuls aus. Die damit ausgelösten Schallwellen breiten sich aus und treffen auf ein Objekt. Dort werden sie reflektiert und teilweise absorbiert. Das gleiche Piezoelement empfängt die reflektierten Wellen. Die Laufzeitdifferenz Δt zwischen Aussenden und Empfang der Schallwellen gibt Aufschluss über die Entfernung r zwischen Schallquelle und Objekt. Unter Kenntnis der Schallgeschwindigkeit c im umgebenden Medium kann diese Wegstrecke r berechnet werden:
2. Doppler-Effekt
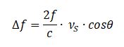
Bei der Messung von Durchflussmengen oder Fließgeschwindigkeiten verunreinigter Medien, z. B. durch Schwebeteilchen oder Luftbläschen, greift man auf das Prinzip des Doppler-Effekts zurück. Dabei werden nach dem Aussenden eines Ultraschallimpulses die Ultraschallwellen (f0) an Flüssigkeitspartikeln gestreut bzw. reflektiert. Die dabei entstehende Frequenzverschiebung Δf zwischen abgestrahlter und am gleichen Piezowandler wieder empfangener reflektierter Wellenfront ist proportional zur Strömungsgeschwindigkeit vS der Partikel. Dabei muss der Winkel θ zwischen der Richtung des ausgesendeten Ultraschallimpulses und der Messstrecke berücksichtigt werden:
Die Strömungsrichtung kann auch durch die Frequenzänderung bestimmt werden. Nähern sich die Flüssigkeitspartikel dem Sensor, verkürzt sich die Wellenlänge des Schalls und die Frequenz steigt an (fb), da die Schallwellen vor den Partikeln hergeschoben werden und diese stauchen. Umgekehrt verlängert sich die Wellenlänge und die Frequenz des Schalls sinkt, wenn sich die Partikel vom Sensor entfernen (fa). Diese Frequenzänderung Δf der Schallwellen kann detektiert und mit der Schallfrequenz des ausgesendeten Ultraschallimpulses verglichen werden.
Anwendungen hierfür finden sich in der Gebäudetechnik zur Verbrauchsbestimmung von Wasser oder Heizenergie, aber auch im medizinischen Umfeld zur Erfassung der Blutflussgeschwindigkeit und -richtung.









