- Engste Toleranzen (0,05 mm)
- Extreme Variation im Außendurchmesser (0,5 mm bis 150 mm)
- Metallisierungen mit Dünn- und Dickschichttechnologie, Umkontakt möglich
- Segmentierte Elektroden für laterale Auslenkungen
- Assemblierung in industrieller Qualität mit Draht-, Litzen- oder Flexboard-Kontaktierung
- Schutzbeschichtungen
- Glasfaserverklebung
- Geeignet für Ultrahochvakuum-Umgebungen (bis 10-10 hPa)
Beim Anlegen einer Spannung verändern piezokeramische Rohre ihren Durchmesser, ihre axiale Länge und ihre Wandstärke. Mit segmentierten Elektroden können über diese Verbiegung präzise laterale Auslenkungen erzeugt werden. Die Anwendungen dieser genauen und ultraschnellen Bewegungen sind vielfältig: Sie reichen von der Mikrodosierung und dem Tintenstrahldruck über die Präzisionspositionierung kleiner Objekte, der Bewegung von Glasfasern bis zur Ultraschallerzeugung. Durch eine gezielte Veredelung der Piezokomponenten lassen sich individuelle, anwendungsspezifische Eigenschaften realisieren.
Spezifikationen
Ob kundenspezifische Ausführung oder Standardprodukt – PI Ceramic bietet einen umfassenden Service, der von der Auswahl des optimalen Materials bis zur Entwicklung lösungsorientierter Anwendungen reicht. Die Abmessungen der Piezorohre können innerhalb definierter Toleranzbereiche flexibel festgelegt werden. Für eine Machbarkeitsbewertung werden die gewünschten Spezifikationen oder Anforderungen benötigt.
| Außendurchmesser OD [mm] | 0,5 - 150 |
| Innendurchmesser ID [mm] | 0,3 - 140 |
| Länge L [mm] | Max. 70 |
| Elektroden | Außen: Dickschicht (Ag), Dünnschicht (Ag, Au, CuNi, Cu, NiV, Cr), chemisch-Nickel (ab ID > 1 mm) Innen: Dickschicht (Ag), chemisch-Nickel (ab ID > 1 mm) |
| Elektrodendesigns | Neben mehrfach segmentierten Rohren sind weitere Designs möglich, wie vollflächig, 4-fach segmentiert oder Umkontakt (siehe rechte Spalte). |
| Kontaktierung | Es stehen unterschiedliche Kontaktierungsverfahren zur Auswahl, wie das Löten oder Kleben von Drähten, Litzen und Flexboards. Mittels spezieller Adapter können auch vierfach segmentierte kleine Rohre unter dem Mikroskop einfach und ohne Funktionsverlust kontaktiert werden. Das Datenblatt finden Sie >> hier. |
| Polarisierungsrichtung | Je nach Kontaktierung und Anbringung der Elektroden entstehen unterschiedliche Auslenkungen in axialer, radialer sowie lateraler Richtung. Weitere Informationen finden Sie unter >> Funktionsweisen. |
| Material | Wir bieten verschiedene ferroelektrisch weiche und harte PTZ-Materialien an. |
| Erweiterte Möglichkeiten | Neben der Höherveredelung durch Aufbau- und Verbindungstechnik lassen sich individuelle, einbaufertige Piezobauelemente realisieren, wie zum Beispiel
|
| Anwendungen | Piezokeramische Rohre eignen sich für eine Vielzahl von Sensor- und Aktoranwendungen. Beispiele für mögliche Anwendungen finden Sie >> hier. |
Funktionsweisen
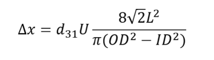
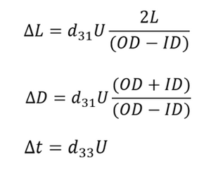
Werden Piezorohre als Aktoren verwendet, erfolgt bei Anlegen einer elektrischen Spannung eine mechanische Auslenkung. Diese kann entweder als statische Verformung durch Gleichspannung oder als Schwingung, beispielsweise im Ultraschallbereich, durch Wechselspannung auftreten. Abhängig vom Aufbau der Piezokomponente kann die Bewegung in axialer oder lateraler Richtung erfolgen. Die Amplitude der Auslenkung hängt sowohl von der Größe des Piezorohres als auch von der angelegten Spannung ab.
Für Rohre mit positiver Polarisationsrichtung innen und negativer außen ergeben sich z. B. folgende Auslenkungsrichtungen:
4-fach segmentiertes Rohr: Laterale Auslenkung bei Ansteuerung innen und eines Einzelsegmentes außen sowie bei Ansteuerung von gegenüberliegenden Außensegmenten.
Rote Pfeile geben die Verformungsrichtung an.
Alle dargestellten Formeln gelten für idealisierte Geometrien (ID, OD >> t). Rohre mit negativer Polarisationsrichtung sowie Masse innen zeigen gegensätzliche Auslenkungsrichtungen.
Glaskapillarverklebung
Piezorohre sind im Bereich der medizinischen sowie der industriellen Mikrodosierung einsetzbar. Mittels spezieller Kontaktierung und Ansteuerung der Rohre werden gezielte Druckimpulse erzeugt. Diese führen zu einer präzisen Flüssigkeitsabgabe aus einer Kapillare im Picoliterbereich. Neben der kundenspezifischen Anfertigung der Piezorohre verfügt PI Ceramic über das Know-how, diese mit feinsten Glaskapillaren unserer Kunden zu verkleben.
- Intravaskuläre Lithotripsie
- Intravaskuläre Katheter zur Behandlung von Vorhofflimmern
- Intravaskulärer bildgebender Ultraschall
- Microarray-Spotting
- Ultraschall-Nadelspitzenverfolgung
- Scanning Fiber Endoskopie
- Rasterkraftmikroskopie
- Präzisionsdosierung und Ink-Jet-Druck
- Unterwasserkommunikation
- Mikromanipulation
- Rastertunnelmikroskopie
Downloads
Werkstoffdaten
Datenblatt Rohre mit Adapter
Benutzerhandbuch A000T0047
Handhabung und elektrische Kontaktierung von Piezokomponenten


















